Iklan - Geser ke atas untuk melanjutkan
Senin, 22 Desember 2025

Kasus Harian Covid-19 Sumut 3 Orang

Redaksi - Rabu, 15 Desember 2021 19:08 WIB
317 view
Kasus Harian Covid-19 Sumut 3 Orang
Foto Dok/Leo Bukit
Penyebaran kasus harian Covid-19 di Indonesia
Medan (harianSIB.com)

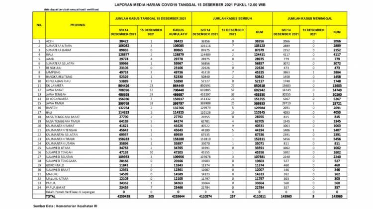
Angka kasus harian Covid-19 di Provinsi Sumatera Utara (Sumut) kembali naik. Kasus baru pada Rabu, 15 Desember 2021, tercatat 3 orang, sembuh 7 dan meninggal nihil.

Sedangkan kasus baru sehari sebelumnya 1 orang, sembuh 14 orang, dan meninggal nihil. Jumlah tersebut diperoleh dari laporan media harian Covid-19 Kemenkes, Rabu (15/12/2021).

Di hari yang sama, Sumut kembali naik ke peringkat 12 sebagai daerah penyumbang kasus baru Covid-19 di Indonesia. Sehari sebelumnya, Sumut peringkat 22.

Peringkat pertama diraih Jawa Barat 52 orang, Jawa Tengah peringkat kedua sebanyak 29 orang, Jawa Timur peringkat ketiga sebanyak 28 orang, DKI Jakarta peringkat keempat sebanyak 23 orang.

Sulawesi Tengah peringkat kelima sebanyak 10 orang, DI Yogyakarta peringkat keenam sebanyak 7 orang, Papua Barat peringkat ketujuh sebanyak 7 orang, Nusa Tenggara Timur peringkat kedelapan sebanyak 5 orang.

Kalimantan Barat peringkat kesembilan sebanyak 5 orang, Kalimantan Timur peringkat 10 sebanyak 5 orang, Jambi peringkat 11 sebanyak 4 orang, Sumatera Utara peringkat 12 sebanyak 3 orang. (*)

Editor
:
SHARE:
Tags
komentar
beritaTerbaru