Iklan - Geser ke atas untuk melanjutkan
Sabtu, 20 Desember 2025

Kasus Baru Covid-19 Sumut 232 Orang

Redaksi - Sabtu, 18 September 2021 21:30 WIB
231 view
Kasus Baru Covid-19 Sumut 232 Orang
Foto Dok
Data Covid-19
Medan (harianSIB.com)

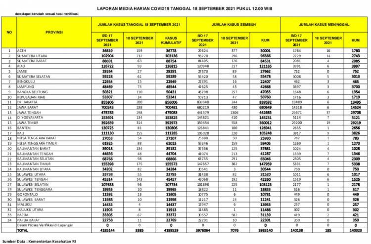
Kasus baru Covid-19 di Provinsi Sumatera Utara (Sumut) tanggal 18 September 2021, sebanyak 232 orang, angka kesembuhan 296 orang, meninggal 14 orang.

Sehingga, total kasus mencapai 103.136 orang, angka kesembuhan 96.566 orang, 2.743 orang. Jumlah ini diperoleh jurnalis harianSIB.com dari laporan media harian Covid-19 Kemenkes RI, Sabtu (18/9/2021).

Kemudian di hari yang sama, Sumut peringkat keempat sebagai daerah penyumbang kasus baru di Indonesia. Posisi ini diketahui melalui laporan media harian Covid-19 Kemenkes RI.

Data itu juga mencatat peringkat pertama kasus baru diraih Jawa Timur sebanyak 314 orang, Jawa Tengah peringkat kedua sebanyak 298 orang, Jawa Barat peringkat ketiga sebanyak 238 orang, Sumut peringkat keempat sebanyak 232 orang.

Sedangkan kasus corona di Kota Medan tanggal 17 September 2021 mencapai 46.673 orang, sembuh 44.342 orang, meninggal 889 orang, kasus aktif 1.442 orang.

Deliserdang 16.345 orang, sembuh 15.254 orang, meninggal 411 orang, kasus aktif 680 orang, Pematangsiantar 3.825 orang, sembuh 3.571 orang, meninggal 79 orang, kasus aktif 175 orang.

Sementara itu, cakupan vaksinasi dosis satu, dua dan tiga di Sumut sampai tanggal 17 September 2021 mencapai 4.952.648 dari target 11.419.559 juta jiwa. Jumlah tersebut dilansir dari https://covid19.sumutprov.go.id. (*)

Editor
: Bantors Sihombing
SHARE:
Tags
komentar
beritaTerbaru