Iklan - Geser ke atas untuk melanjutkan
Senin, 22 Desember 2025

Dua Hari Berturut, Kasus Harian Meninggal Covid-19 di Sumut Nol

Redaksi - Minggu, 10 Oktober 2021 19:15 WIB
332 view
Dua Hari Berturut, Kasus Harian Meninggal Covid-19 di Sumut Nol
Foto Dok/Kemenkes
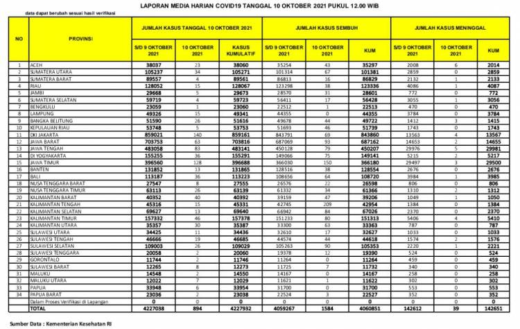
Penyebaran kasus Covid-19 di Indonesia
Medan (harianSIB.com)

Kasus baru Covid-19 di Provinsi Sumatera Utara (Sumut) tanggal 10 Oktober 2021, sebanyak 34 orang, angka kesembuhan 67 orang, meninggal nol.

Sehingga, total kasus mencapai 105.271 orang, angka kesembuhan 101.381 orang, meninggal 2.859 orang. Jumlah ini diperoleh harianSIB.com melalui laporan media harian Covid-19 Kemenkes RI, Minggu (10/10/2021).

Di hari yang sama, Sumut peringkat keenam sebagai daerah penyumbang kasus baru Covid-19 di Indonesia. Peringkat pertama diraih DKI Jakarta sebanyak 140 orang, Jawa Timur peringkat kedua sebanyak 128 orang.

Jawa Tengah peringkat ketiga sebanyak 83 orang, Jawa Barat peringk keempat sebanyak 63 orang, Kalimantan Timur peringkat kelima sebanyak 46 orang, Kalimantan Barat peringkat keenam sebanyak 40 orang.

Kemudian, DI Yogyakarta peringkat ketujuh sebanyak 36 orang, Bali peringkat kedelapan sebanyak 36 orang, Sumatera Utara peringkat kesembilan sebanyak 34 orang.

Sebelumnya, kasus corona di Medan sampai tanggal 9 Oktober 2021 mencapai 47.831 orang, sembuh 46.449 orang, meninggal 897 orang, kasus aktif 485 orang. Kasus di Deliserdang 16.576 orang, sembuh 16.064 orang, meninggal 420 orang, kasus aktif 92 orang.

Kemudian, kasus di Pematangsiantar 3.946 orang, sembuh 3.774 orang, meninggal 81 orang, kasus aktif 91 orang. Kasus di Simalungun 3.159 orang, sembuh 2.908 orang, meninggal 196 orang, kasus aktif 55 orang. (*)

Editor
:
SHARE:
Tags
komentar
beritaTerbaru