Iklan - Geser ke atas untuk melanjutkan
Selasa, 28 Oktober 2025

Sumut Zero Zona Merah Covid-19

Redaksi - Rabu, 01 September 2021 21:05 WIB
522 view
Sumut Zero Zona Merah Covid-19
(Foto Dok/Kemenkes)
Laporan Covid-19 di Indonesia 
Medan (harianSIB.com)
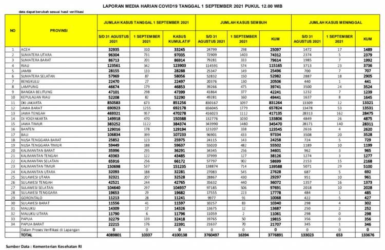
Kasus baru Covid-19 di Provinsi Sumut masih ditemukan di kalangan masyarakat. Kasus baru pertanggal 1 September 2021, sebanyak 731 orang, angka kesembuhan 1.403 orang, meninggal 5 orang.

Sehingga, total kasus mencapai 97.035 orang, angka kesembuhan 74.312 orang, meninggal 2.379 orang. Jumlah ini diperoleh harianSIB.com dari laporan media harian Covid-19 Kemenkes RI, Rabu (1/9/2021).

Kemudian di hari yang sama, Sumut peringkat keempat sebagai daerah penyumbang kasus baru di Indonesia. Peringkat ini diketahui melalui laporan media harian Covid-19 Kemenkes RI, Rabu (1/9/2021).

Data itu juga mencatat peringkat pertama kasus baru diraih Jawa Barat sebanyak 1.255 orang, Jawa Timur peringkat kedua sebanyak 1.122 orang, Jawa Tengah peringkat ketiga sebanyak 957 orang, Sumatera Utara peringkat keempat sebanyak 731 orang.

Sementara, saat ini kabupaten/kota di Sumut terbebas atau zero zona merah (risiko tinggi). Pada minggu lalu terdapat tiga daerah yang zona merah yaitu Medan, Toba dan Simalungun. Meski begitu, daerah Sumut tak ada zona hijau (tidak ada kasus).

Zonasi penyebaran Covid-19 tersebut, berdasarkan data hasil pembobotan skor dan zonasi risiko daerah seluruh Indonesia yang disampaikan pada website https://covid19.go.id/peta-risiko per 29 Agustus 2021. Dari zonasi itu juga, tercatat sebanyak 19 daerah Sumut zona oranye dan 14 zona kuning (risiko rendah).

Untuk daerah zona oranye, antara lain Pakpak Bharat, Samosir, Tanjungbalai, Tebingtinggi, Deliserdang, Toba, Labuhanbatu Selatan, Labuhanbatu, Serdang Bedagai, Padanglawas, Karo, Simalungun, Labuhanbatu Utara, Medan, Binjai, Padangsidimpuan, Langkat, Asahan, dan Pematangsiantar.

Sedangkan daerah zona kuning, yakni Nias Barat, Tapanuli Tengah, Nias, Dairi, Padanglawas Utara, Sibolga, Mandailing Natal, Batu Bara, Gunungsitoli, Tapanuli Selatan, Humbang Hasundutan, Nias Utara, Tapanuli Utara, dan Nias Selatan.

Sementara itu, kasus Covid-19 di Medan pertanggal 31 Agustus mencapai 43.550 orang, sembuh 33.885 orang, meninggal 812 orang, kasus aktif 8.853 orang, Deliserdang 15.288 orang, sembuh 13.391 orang, meninggal 396 orang, kasus aktif 1.501 orang.

Selanjutnya Pematangsiantar 3.609 orang, sembuh 2.347 orang, meninggal 66 orang, kasus aktif 1 196 orang. Cakupan vaksinasi tahap I, II, III di Sumut sampai tanggal 31 Agustus 2021 mencapai 4.051.167 dari target 11.419.559 juta jiwa. Jumlah itu diperoleh dari https://covid19.sumutprov.go.id. (*)

Editor
:
SHARE:
Tags
komentar
beritaTerbaru
431 P3K Pemkab Labura Dilantik

431 P3K Pemkab Labura Dilantik

Aekkanopan(harianSIB.com)Sebanyak 431 Pegawai Pemerintah dengan Perjanjian Kerja (P3K) di Lingkungan Pemkab Labuhan Baru Utara (Labura) dila